
- geneatcg (pronounced 'genetic')
- gene eat cg ๐พ I eat geometry everyday
- Gene at CG โ Computational Geometry / Computer Graphics / Craft & Generative
- gene โ ATCG ๐งฌ
Highlights

PhD Dissertation
Stability Assessment of Discrete Shell Structures during Assembly

Coupled Rigid-Block Analysis
Stability-Aware Design of Complex Discrete-Element Assemblies

COMPAS CRA
Coupled Rigid-Block Analysis for the COMPAS framework

Made in Science Podcast #44
Engineering is like cooking and art โ 3D Computational Geometry and Architecture
Recent Posts

From Architectural Design to Geometry Kernels

What a Volunteer Leadership Year Taught Me

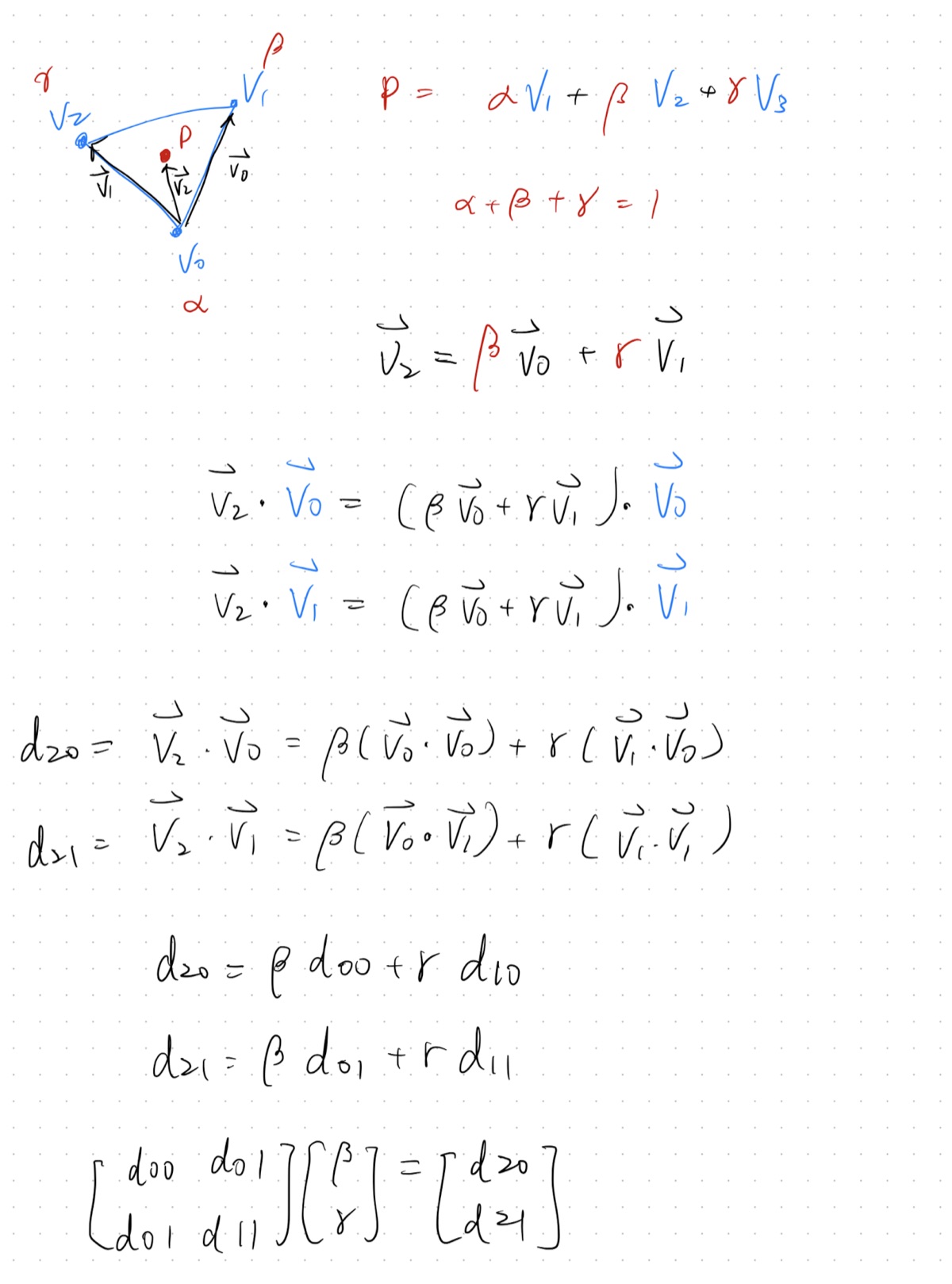
Barycentric Coordinates

Open-Sourcing GENEATCG.com
About Gene
I am a Staff Research & Development Engineer working on computational geometry, geometry processing, and meshing algorithms for simulation and CAD software at Synopsys (formerly Ansys).
I focus on rigorously formulating problems and translating theory into robust, production-quality software. I hold a Doctor of Sciences from ETH Zurich and have an interdisciplinary background across engineering, computer science, architecture, and design, with work and life experience in Sweden, Switzerland, Germany, and Taiwan.
